题意
给定一个初始状态如图所示的建筑,共 \(n\) 层(不包括 Daruma),自底向上编号 \(1\sim n\)。
下图分别表示建筑的初始状态、奇数层的放置和偶数层的放置。

Snuke 和 Sothe 轮流进行游戏,Snuke 先手,每次游戏可以拿走建筑中的任意一块砖头,但不允许拿走砖头后建筑变得不平衡。如果不存在砖头可以被拿走,那么该玩家输。
给定一个未结束的游戏,判断两人在绝对聪明的情况下,谁是必胜者(需要根据以拿走的砖块数量确定先手)。
不平衡的定义是,\(n\)层中,存在某层没有砖块,或只有一块砖且这块砖在两侧。
\(n\le 50000\)
题解
显然是个博弈问题。且层与层之间独立,所以可以看作是 \(n\) 个单独的游戏的和。那么我们只要求出每一层的 SG 函数值,然后 xor 起来即可。
每一层只有 \(2^3-3=5\) 种可能的情况,分类讨论每种情况的 SG 函数值即可。
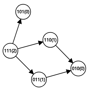
游戏图如下(0 表示没有砖块,1 表示有砖块,括号内的数表示该状态的 SG 函数值):

代码
1 |
|
「AT1726」「CODE FESTIVAL 2015 OKINAWA OPEN」Dictionary for Shiritori Game
题目传送门 题意 给定大小为 \(n\) 的字符集和 \(m\) 个单词,第 \(i\) 个单词以字符 \(a_i\) 开头,以字符 \(b_i\) 结尾。 Snuke 和 Sothe 轮...
「AT1724」「CODE FESTIVAL 2015 OKINAWA OPEN」Beware of the Sogginess!
题目传送门 题意 给定 \(n\) 个二元组 \((a_i,b_i)\)。一个二元组 \((a,b)\) 可以变为 \((a+t,b-t)\ (0\le t\le b)\)。你现在可以选择一...